Équation de la chaleur
En mathématiques et en physique théorique, l'équation de la chaleur est une équation aux dérivées partielles parabolique, introduite originellement en 1811 par Fourier pour décrire le phénomène physique de conduction thermique.
Catégories :
Équation aux dérivées partielles - Physique mathématique - Thermodynamique - Transfert thermique - Loi en physique
En mathématiques et en physique théorique, l'équation de la chaleur est une équation aux dérivées partielles parabolique, introduite originellement en 1811 par Fourier pour décrire le phénomène physique de conduction thermique.
Équation de la chaleur
Soit
un domaine à bord
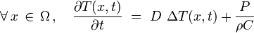
. Soit T (x, t) le champ de température sur ce domaine. En l'absence des sources thermiques[1] dans le domaine, l'équation de la chaleur s'écrit :

où Δ est l'opérateur Laplacien, D est le cœfficient de diffusivité thermique et P une éventuelle production volumique de chaleur propre. Pour que le problème soit mathématiquement bien posé, il faut généralement spécifier :
- une condition initiale :
; - une condition aux limites sur le bord du domaine, par exemple :
- Dirichlet :
; - ou Neumann :
, où
est le vecteur normal unitaire au point x.
- Dirichlet :
Établissement de l'équation de la chaleur
Il existe plusieurs approches, par exemple le bilan pour un volume de contrôle. On suit ici un raisonnement s'appuyant sur la thermodynamique et la loi de Fourier.
Appliquons le premier principe de la thermodynamique à un volume τ de conducteur contenu à l'intérieur d'une surface Σ entre t et t + dt :
- U (t + dt) − U (t) = δW + δQ
on considère ici un dispositif isochore donc δW = 0. Qui plus est ,
où ρ est la masse volumique du matériau (en kg/m3), c la chaleur spécifique massique du matériau (en J/kg. K) et f (V) est une fonction du volume. Alors
On a aussi, par définition de
(vecteur densité de flux de chaleur) et de la densité volumique de source de chaleur par unité de temps P (en W/m3) :
(note pour le signe :
est positif lorsque le flux est vers l'extérieur, par conséquent la variation de chaleur est alors négative dans le volume)
Avec le théorème de Green-Ostrogradsky on obtient :
donc :
or ceci est valable pour tout volume τ, donc :
En utilisant la loi de Fourier :
et le fait que :
on obtient :
ce qui est bien l'équation de la chaleur.
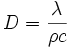
Enfin, en posant
(cœfficient de diffusion).
Autres phénomènes physiques
Il est intéressant de remarquer que l'équation de la chaleur, introduite originellement pour décrire la conduction thermique, apparaît aussi dans d'autres branches de la physique théorique. Elle permet par exemple de décrire :
- le phénomène de diffusion ;
- certains aspects probabilistes du mouvement brownien ;
Enfin, il existe un lien avec la mécanique quantique non-relativiste : l'équation de la chaleur apparait en effet comme une équation de Schrödinger en temps imaginaire. Loin d'être une simple curiosité, cette propriété autorise des développements intéressants, car il est fréquemment plus facile mathématiquement de travailler avec l'équation de la chaleur qu'avec l'équation de Schrödinger.
Généralisations
L'équation de la chaleur couvre naturellement :
- dans
pour n quelconque ; - sur une variété riemannienne de dimension quelconque en introduisant l'opérateur de Laplace-Beltrami, qui généralise le Laplacien.
Articles liés
Bibliographie
- Joseph Fourier ; Théorie analytique de la chaleur, Firmin Didot Père et Fils (Paris-1822). Réédition Jacques Gabay (1988), ISBN 2-87647-046-2.
- Jean Dhombres & Jean-Bernard Robert ; Fourier, créateur de la physique mathématique, collection «Un savant, une époque», Belin (1998), ISBN 2-7011-1213-3.
Notes
- ↑ A titre d'exemple, une source radioactive qui serait positionnée à l'intérieur du domaine, ... Il est envisageable d'introduire de telles sources d'énergie locales en ajoutant un terme à l'équation ; cf. l'article conduction thermique.
Recherche sur Google Images : |
|
"Equation de la chaleur" L'image ci-contre est extraite du site excel-downloads.com Il est possible que cette image soit réduite par rapport à l'originale. Elle est peut-être protégée par des droits d'auteur. Voir l'image en taille réelle (450 x 308 - 17 ko - gif)Refaire la recherche sur Google Images |
Recherche sur Amazone (livres) : |
Voir la liste des contributeurs.
La version présentée ici à été extraite depuis cette source le 10/01/2010.
Ce texte est disponible sous les termes de la licence de documentation libre GNU (GFDL).
La liste des définitions proposées en tête de page est une sélection parmi les résultats obtenus à l'aide de la commande "define:" de Google.
Cette page fait partie du projet Wikibis.







(


Accueil
Recherche
Début page
Contact
Imprimer
Accessibilité